21 世纪以来,世界汽车产业的发展日新月异,尤其是中国近年来汽车产业的发展更是令人瞩目,截至2017 年底中国汽车产销量已达到2888 万辆,远居世界第一,但是同时也应该引起注意的是由此带来的交通事故造成的人员及财产损失也在与日俱增,所以汽车在追求舒适便捷快速等需求的同时,汽车的安全性能也越来越受到关注。
ABS 作为目前车辆的标准配置,自然首当其冲成为研究的重点对象。
1 ABS 基本结构原理
ABS 作为汽车上必不可少的电子辅助设备,根据车的类型及价位产生的诸多的变化,形成了很多不同的类型,本文则选取经典的四通道ABS 典型结构进行基本原理说明,ABS 在发展过程中虽然出现了诸多的演变形式,但其工作原理始终没有出现大的变化,ABS 的工作时基于对车轮滑移率的控制,在不同的制动状态下,通过车速传感器等感知车轮的滑移状态,并通过分析当前车轮状态,对ABS 控制器发出指令,控制制动钳上制动力的大小,以保证车轮不会处于抱死状态,因此,ABS 又是一个闭环的控制系统。
2 ABS 建模与仿真
2.1 仿真平台的选用
根据数学处理原始内核的不同,目前市场上出现的相关应用软件分为两种类型:一种称为数值计算,另一种叫做数值分析。而MATLAB 软件的出现,则同时具备了以上两类软件的优点,采用矩阵的方式来存储数据,其涉及的计算公式也与普通数学表达式相似,其附加组件Simulink则提供了对动态系统的建模、仿真及数据分析,并且在相关分析完毕之后还能够对系统参数进行修正调整,以描述实际仿真效果。
2.2 ABS 模型的建立
模型的建立必须有充分的理论分析作为其基础,而模型建立的好与坏又会对下一步的仿真结果的准确性和可信性,在建模的过程中,可以根据不同的研究对象对相关模型进行合理的简化。
2.2.1 轮胎模型的建立
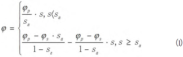
鉴于已有相关文献介绍了精度较高的轮胎模型的建立,比如常见的双线性模型和魔术公式等,而本次研受到相关条件的限制,综合考虑采用双线性模型,如公式(1)所示:

式中,φ 为纵向附着系数;φp 为峰值附着系数;φs 为滑移率为100%的附着系数;sa 为最佳滑移率;s 为滑移率。
注意该模型为立项模型,在仿真过程中取纵向附着系数为地面摩擦系数。
2.2.2 滑移率、制动器模型的建立
制动器和滑移率的模型仍然借鉴已有的数学模型,如公式(2)和(3)所示:

式中,Kf 为制动器制动系数(N·m/kPa);P 为制动系统气液传递压力(kPa)。

式中,s 为滑移率;v 为车身速度(m/s);vw 为车轮速度(m/s)。
2.2.3 整体模型的建立
整体仿真模块包括轮速计算子模块、车速计算子模块和滑移率计算子模块等,其输入参数为最佳滑移率和实际滑移率,控制器根据最佳滑移率和实际滑移率控制输出制动压力,根据制动器模型计算得出制动器制动力矩,再根据车轮运动方程计算输出车轮线速度。车速计算子模块包括了轮胎模型和部分1/4 模型。以实际滑移率作为输入,根据轮胎双线性模型计算得出纵向附着系数,在根据车辆纵向摩擦力计算公式及车辆运动方程,以车身速度和制动距离作为输出。最后将车轮线速度、车身速度和制动距离输入到滑移率计算子模块,计算获得实际滑移率。从而,由此构成一个闭环仿真系统。
本文所采用的仿真模型参数如表1 所示。

表1 仿真模型参数
3 试验台整体结构的设计
本次研究设计的ABS 动态性能仿真实验台架,不仅考虑了相关功能的完善,同时还必须具有较为合理的机构布置,开发设计的实验台可大致分为硬件和软件两部分,硬件包括试验台机体、动力系统等,软件则包括数据采集卡、故障系统等。
试验台机体类似于汽车底盘,用于安装试验台所需的软硬件设备,动力源采用电动机,通过相关传动系统使试验台运转,本文所选用的ABS 原型为大众帕萨特轿车,试验台面板根据原车型电路图设置,可用于ABS 教学实训课程,故障设置系统用于实训课程中原车故障的模拟。
动力传动系统的设计:
为了能够克服传统ABS 仿真平台难以模拟真实制动过程的难题,本次研发的试验台对其动力传动系统进行了自主设计,如图1 所示。
创新设计的动力传递系统各部件已在图1 中标示,系统中的变频器适用于将动力源电机锁输出的转速调节成不同的值来模拟实际行车过程中出现的不通车速,动力源电机通过带传动带动轴运转,与惯性飞轮同轴的摩擦毂也随之转动,经过摩擦传动之后,相应的车轮也开始转动。摩擦毂和车轮直接的接触用于模拟实际行车过程中车轮与地面之间的摩擦力。当发生制动时即踩下制动器踏板,动力源电机会被切断电源以模拟离合器不结合状态,当制动器开始工作时,车轮开始被制动,摩擦毂和飞轮也开始逐渐停止转动,这一系列传动部件的制动转速变化可以由数据采集卡传输到相关上位机进行分析。

4 总结与展望
本文开篇介绍了汽车ABS 的重要性及其主要的结构和基本工作原理,并对研发所涉及到的实验仿真平台进行了简单的介绍,根据实验台架的功能要求,选取了合适的动力模型,并建立了属于本次设计所独有的ABS 整体仿真模型。在试验台硬件设计方面,为了能够适应动试验的要求,专门设计了本次开发的试验台所独有的动力传动系统,同时描述了ABS 动态试验台架的整体构造。
本次开发的试验台既能够满足一般高职院校教学过程所需要的仿真实训要求,帮助学生更加具体生动地了解ABS 的工作过程,熟悉ABS 的结构原理,提高其对ABS 故障的检测能力,同时也能够适用于相关高校、企业对于ABS 系统的研发。
本站部分图片和内容来源于网络,版权国内自拍 在线 亚洲 欧美所有,如果您认为我们侵犯了您的版权请告知我们将立即删除 沪ICP备16023097号-11